ハイレンジIQテストスレ【其の6】 - 高IQ・知能指数・IQテスト掲示板

ハイレンジIQテストスレ【其の6】
0名前を書き忘れた受験生
2019/10/22 08:14 172940view
ハイレンジIQテストスレ【其の6】
前スレ
https://www.100ten.info/mensa/67/
前前スレ
https://www.100ten.info/mensa/66/
前前前スレ
https://www.100ten.info/mensa/65/
前前前前スレ
https://www.100ten.info/mensa/55/
注意
・ギフテッドに擦り寄る「IQテストビジネス」にご用心
・ハイレンジIQテストは主にIQ130以上を測定するためのテストです。
・ハイレンジIQテストの結果には科学的根拠がありません。結果は目安として捉えてください。
・科学的根拠があるIQは医療機関等にて測定することができます。(WAIS,WISCなど)
・ハイレンジIQは主にIQ150前後が平均点数である事が多いです。
・問題の解法や解答を共有することは禁則事項です。
主なハイレンジIQテスト
[ http://ivec.ultimaiq.net/ ]
・図形問題(Spatial)
・LSHR Light
・LSHR
・数列問題(Numerical)
・Numerus Light
・Numerus
・言語問題(Verbal)
・Einplex
・Triplex
[ http://news.generiq.net/ ]
・図形問題(Spatial)
・Logima Strictica 36
・Logicaus Strictimanus 24
[ http://iq-tests-for-the-high-range.com/others/ ]
・数列問題(Numerical)
・Strict Logic Sequences Examination Form I
・Strict Logic Sequences Examination Form II
・図形問題(Spatial)
・Strict Logic Spatial Examination 48
[ https://hriqtests.com/tests/ ]
・図形問題(Spatial)
・SEE30
・言語問題(Verbal)
・VRA Form I
・数列問題(Numerical)
・NPRA-F
0pt
0pt
393名前を書き忘れた受験生
2019/10/25 12:59
年間数千人規模で受験者増やすってけっこうなペースだな。そもそも受験を前向きに検討する対象が日本で数千人しかいない気がするけど頑張ってほしい。
0pt
0pt
2019/10/25 12:59
年間数千人規模で受験者増やすってけっこうなペースだな。そもそも受験を前向きに検討する対象が日本で数千人しかいない気がするけど頑張ってほしい。
0pt
0pt
387名前を書き忘れた受験生
2019/10/25 11:05
まず機構のテストクリエーターwwがハイレンジの肩書きを自慢げに掲げてるうちは、信頼なんかされないよ。他の怪しいハイレンジと同一に見られるよ。分かんないかな?
1.Kを外すこと。
2. IQ表記をやめて独自の指数とすること。
3.具体的な支援を明確にすること。
4.受験者(簡易含む)に謝ること。
5.Kパパの指摘を認めて謝ること。
これで解決。
3pt
0pt
2019/10/25 11:05
まず機構のテストクリエーターwwがハイレンジの肩書きを自慢げに掲げてるうちは、信頼なんかされないよ。他の怪しいハイレンジと同一に見られるよ。分かんないかな?
1.Kを外すこと。
2. IQ表記をやめて独自の指数とすること。
3.具体的な支援を明確にすること。
4.受験者(簡易含む)に謝ること。
5.Kパパの指摘を認めて謝ること。
これで解決。
3pt
0pt
385名前を書き忘れた受験生
2019/10/25 07:36
メンサンの大多数がキャッテルもCAMSも受けてない事実。
オフ会に参加してない層が勝ちだったわけだな。ちょうど更新のタイミングだし今回の件でいろいろ嫌気がさして辞める人も一定数いそう。交流目的の会員はオフ会に価値を見出してるのにメンサ公式例会(第1回キャッテルオフ)がこれじゃあ信用失うよね…
0pt
0pt
2019/10/25 07:36
メンサンの大多数がキャッテルもCAMSも受けてない事実。
オフ会に参加してない層が勝ちだったわけだな。ちょうど更新のタイミングだし今回の件でいろいろ嫌気がさして辞める人も一定数いそう。交流目的の会員はオフ会に価値を見出してるのにメンサ公式例会(第1回キャッテルオフ)がこれじゃあ信用失うよね…
0pt
0pt
384名前を書き忘れた受験生
2019/10/25 04:44
悪意ある協力者が不正な採点を行った可能性は否定できないと思う
悪意がなくても「会員」を「全員」と読み違えるトンデモ迷惑な老害バカもいるしな
どんな権威の教授か知らないが使ったデータには信頼性が微塵もない
1pt
0pt
2019/10/25 04:44
悪意ある協力者が不正な採点を行った可能性は否定できないと思う
悪意がなくても「会員」を「全員」と読み違えるトンデモ迷惑な老害バカもいるしな
どんな権威の教授か知らないが使ったデータには信頼性が微塵もない
1pt
0pt
383名前を書き忘れた受験生
2019/10/25 02:06
>>315
・受講者の名前は付箋で隠す
・受講者の採点協力者が採点
機構のデータ分析された先生は、このデータ収集方法について知っているのだろうか。機構の基礎理論に関わる問題だと思っているんだが。
これ実際に受けた人は特に採点に不備はなかった雰囲気だったんだろうか。
2pt
0pt
2019/10/25 02:06
>>315
・受講者の名前は付箋で隠す
・受講者の採点協力者が採点
機構のデータ分析された先生は、このデータ収集方法について知っているのだろうか。機構の基礎理論に関わる問題だと思っているんだが。
これ実際に受けた人は特に採点に不備はなかった雰囲気だったんだろうか。
2pt
0pt
378名前を書き忘れた受験生
2019/10/25 01:28
キャッテルの数値出さなくても、キャッテルオフした時のデータを勝手に使って名前で紐付けしてると思ってる。
だから出さなかった。
表で絶対に言わないだろうけど、たぶんやってる。
むしろその情報収集のメリットがないとキャッテルオフをやってないと思う。
つか、この程度の推測はメンサンなら考えるまでも無いレベルだと思うが。
4pt
0pt
2019/10/25 01:28
キャッテルの数値出さなくても、キャッテルオフした時のデータを勝手に使って名前で紐付けしてると思ってる。
だから出さなかった。
表で絶対に言わないだろうけど、たぶんやってる。
むしろその情報収集のメリットがないとキャッテルオフをやってないと思う。
つか、この程度の推測はメンサンなら考えるまでも無いレベルだと思うが。
4pt
0pt
375名前を書き忘れた受験生
2019/10/25 01:20
>>374
つまりCAMSでキャッテルのスコアを提出してる人は
行列推理が得意だが
メンサ会員のくせにIQテストには無知で
人を見る目がない
人間の集合ってことね
こんなに偏った集団のサンプルって逆に貴重じゃないのww
1pt
0pt
2019/10/25 01:20
>>374
つまりCAMSでキャッテルのスコアを提出してる人は
行列推理が得意だが
メンサ会員のくせにIQテストには無知で
人を見る目がない
人間の集合ってことね
こんなに偏った集団のサンプルって逆に貴重じゃないのww
1pt
0pt
374名前を書き忘れた受験生
2019/10/25 01:04
>>372
たしかにそうだな
@ キャッテルは信用するがハイレンジは時間の無駄だと知っていた
A キャッテルの成績が悪かったので提出しなかった
B キャッテルを受けた時にKには関わらない方がいいと見抜いた
どれかだろうか
0pt
0pt
2019/10/25 01:04
>>372
たしかにそうだな
@ キャッテルは信用するがハイレンジは時間の無駄だと知っていた
A キャッテルの成績が悪かったので提出しなかった
B キャッテルを受けた時にKには関わらない方がいいと見抜いた
どれかだろうか
0pt
0pt
371名前を書き忘れた受験生
2019/10/25 00:49
これのどこに「規則性」があると言うのか
100歩譲って、もしかすると「IQ140以上」を検出するツールとしては使えるかもしれない
だが機構が主張するようなIQ150、IQ160を認定するテストであるわけがない
縄文人だって分かるだろう、こんなもん

2pt
0pt
2019/10/25 00:49
これのどこに「規則性」があると言うのか
100歩譲って、もしかすると「IQ140以上」を検出するツールとしては使えるかもしれない
だが機構が主張するようなIQ150、IQ160を認定するテストであるわけがない
縄文人だって分かるだろう、こんなもん

2pt
0pt
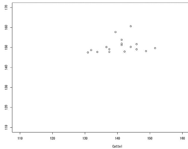
370名前を書き忘れた受験生
2019/10/25 00:31
名誉教授の雑なレポートを読むと、CAMSのIQは大部分が130-150の間に収まるように調整されているように見える
「高得点者のデータが増えれば相関係数が高まる」と大した根拠なく予想しているが、
グラフを見るとCAMS高得点者(147以上)のスコア分布は受検者のキャッテルスコアの分布にほぼ等しい
つまりこのテストの高得点者はIQとは関係のない別の何かの能力において優秀なだけだと推測できる
1pt
0pt
2019/10/25 00:31
名誉教授の雑なレポートを読むと、CAMSのIQは大部分が130-150の間に収まるように調整されているように見える
「高得点者のデータが増えれば相関係数が高まる」と大した根拠なく予想しているが、
グラフを見るとCAMS高得点者(147以上)のスコア分布は受検者のキャッテルスコアの分布にほぼ等しい
つまりこのテストの高得点者はIQとは関係のない別の何かの能力において優秀なだけだと推測できる
1pt
0pt
369名前を書き忘れた受験生
2019/10/25 00:18
ポイントは十分な数のサンプルが揃って正確な偏差値IQが測れるまでは待てないという事です。←じゃそのような説明をした上で募集すればいいじゃん。DIQって言ってたのはあんたらだぜ?ダメなポイントじゃん。
1pt
0pt
2019/10/25 00:18
ポイントは十分な数のサンプルが揃って正確な偏差値IQが測れるまでは待てないという事です。←じゃそのような説明をした上で募集すればいいじゃん。DIQって言ってたのはあんたらだぜ?ダメなポイントじゃん。
1pt
0pt
367名前を書き忘れた受験生
2019/10/24 23:53
一般受験者とメンサンではスコアの傾向どうなるかね?希望的観測ではメンサンの方がパズルできるからプレテスト受けたメンサンのスコアは相対的にどんどんハイスコアになっていくかそもそも数値自体が上方修正されるのでは。と思いたいw
0pt
0pt
2019/10/24 23:53
一般受験者とメンサンではスコアの傾向どうなるかね?希望的観測ではメンサンの方がパズルできるからプレテスト受けたメンサンのスコアは相対的にどんどんハイスコアになっていくかそもそも数値自体が上方修正されるのでは。と思いたいw
0pt
0pt関連トピック
掲示板TOPへ戻る

コメントする
検索
画像一覧
ーロメヤ