医学部掲示板 - 東京医科歯科大学掲示板
35名前を書き忘れた受験生
2024/03/03 16:13
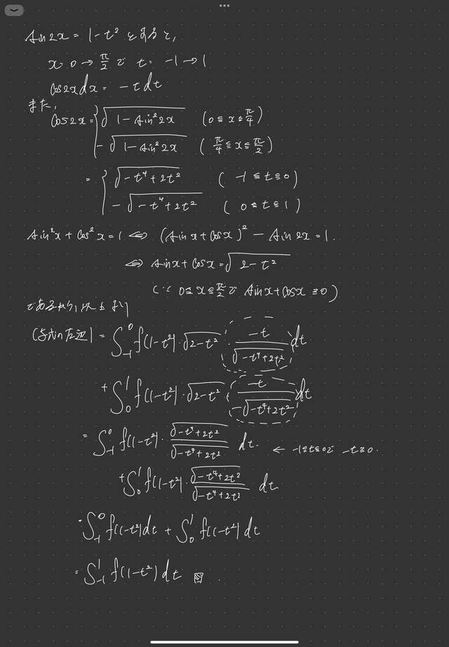
自分の解答はこんな感じなんですけど、どなたか確認していただけませんか
印つけたとこがt=0で成立しないので、厳しければ減点だとは思っています。

5pt
0pt
2024/03/03 16:13
自分の解答はこんな感じなんですけど、どなたか確認していただけませんか
印つけたとこがt=0で成立しないので、厳しければ減点だとは思っています。

5pt
0pt関連トピック
掲示板TOPへ戻る


コメントする
検索
画像一覧
