【2018年】九州大学解答速報掲示板【九大解答速報】 - 九州大学掲示板

【2018年】九州大学解答速報掲示板【九大解答速報】
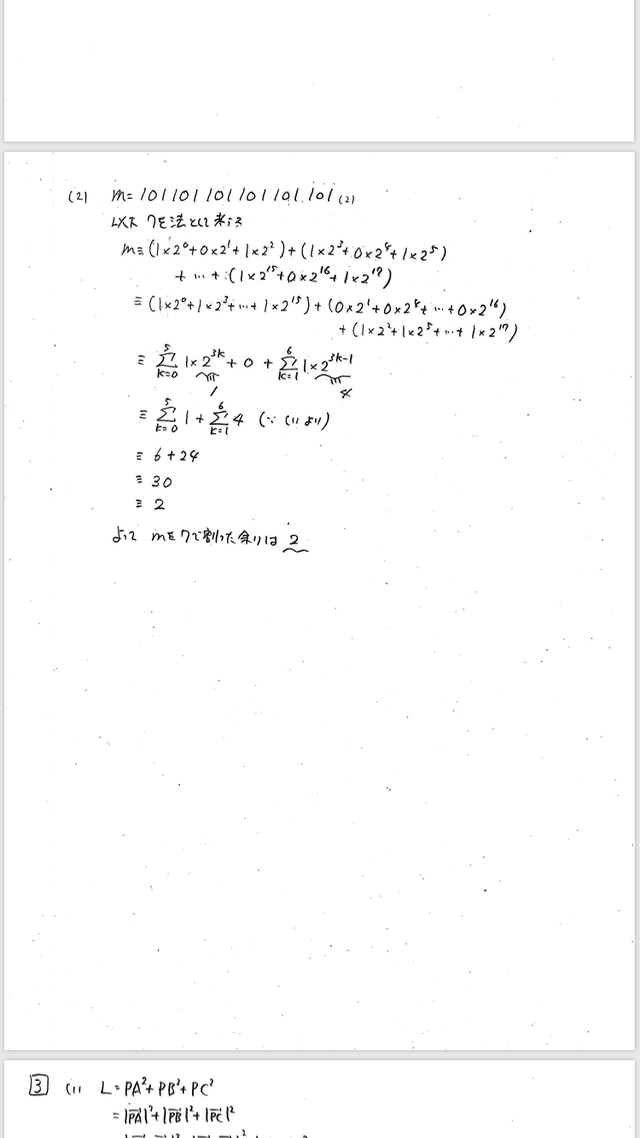
0名前を書き忘れた受験生
2017/06/06 20:55 204069view
★解答速報掲示板
●入試問題や解答について情報を共有しましょう。
●同じ入試を受けた受験生同士で交流しましょう。
●答えが知りたい問題があれば質問してみましょう。誰かが答えてくれるかも。
●自分が知っている質問には答えてみましょう。
●みんなで入試問題の解答速報を作り上げましょう。
●自己採点(答え合わせ)に役立てましょう。
●無事に合格したら大学生として後輩の質問に答えてあげてください。
●誰かが書き込むとみんな書き込み始めます。挨拶だけでもいいので書き込んでみましょう。

0pt
0pt関連トピック
掲示板TOPへ戻る

コメントする
検索
画像一覧






