【2018年】愛媛大学入試解答速報掲示板 - 愛媛大学掲示板

【2018年】愛媛大学入試解答速報掲示板
0名前を書き忘れた受験生
2017/02/11 21:20 143678view
★解答速報掲示板
●入試問題や解答について情報を共有しましょう。
●同じ入試を受けた受験生同士で交流しましょう。
●答えが知りたい問題があれば質問してみましょう。誰かが答えてくれるかも。
●自分が知っている質問には答えてみましょう。
●みんなで入試問題の解答速報を作り上げましょう。
●自己採点(答え合わせ)に役立てましょう。
●無事に合格したら大学生として後輩の質問に答えてあげてください。
●誰かが書き込むとみんな書き込み始めます。挨拶だけでもいいので書き込んでみましょう。
合格発表日:3/7
1pt
0pt
613名前を書き忘れた受験生
2018/03/07 13:28
皆さんのおかげで愛媛大学農学部に合格することができました。ありがとうございました。福井から愛媛に受験した甲斐がありました。
4pt
0pt
2018/03/07 13:28
皆さんのおかげで愛媛大学農学部に合格することができました。ありがとうございました。福井から愛媛に受験した甲斐がありました。
4pt
0pt
606晴れ間からこんにちは
2018/03/07 13:21
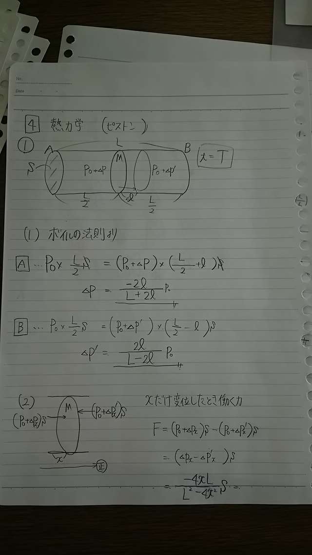
愛媛大学 物理 2018
今更ながら解き直して見たものを上げてみます。
誰か、間違っているところや解き方をコメント報告よろしくお願いします。
分からないところは解いてません!!


2pt
0pt
2018/03/07 13:21
愛媛大学 物理 2018
今更ながら解き直して見たものを上げてみます。
誰か、間違っているところや解き方をコメント報告よろしくお願いします。
分からないところは解いてません!!


2pt
0pt
605晴れ間からこんにちは
2018/03/07 13:21
愛媛大学 物理 2018
今更ながら解き直して見たものを上げてみます。
誰か、間違っているところや解き方をコメント報告よろしくお願いします。
分からないところは解いてません!!
1pt
0pt
2018/03/07 13:21
愛媛大学 物理 2018
今更ながら解き直して見たものを上げてみます。
誰か、間違っているところや解き方をコメント報告よろしくお願いします。
分からないところは解いてません!!
1pt
0pt
599名前を書き忘れた受験生
2018/03/07 11:41
合格できなかった人へ
私はこの一年浪人して愛媛大学に合格しました。でも浪人することで得ることの方が多かったように思います。なので決して無駄な一年ではありませんでした。
ただ、もしあなたが浪人することを考えているなら一年どう過ごすか真剣に考えてください。
現役で落ちる人は誰かがなんとかしてくれるという考えの人が多いと思います。ですが、落ちたのは全て自分の行動の結果です。
たとえ来年努力して志望校に合格できないとしても何か自分の中で得るものがある一年になるように行動してほしいです。
7pt
0pt
2018/03/07 11:41
合格できなかった人へ
私はこの一年浪人して愛媛大学に合格しました。でも浪人することで得ることの方が多かったように思います。なので決して無駄な一年ではありませんでした。
ただ、もしあなたが浪人することを考えているなら一年どう過ごすか真剣に考えてください。
現役で落ちる人は誰かがなんとかしてくれるという考えの人が多いと思います。ですが、落ちたのは全て自分の行動の結果です。
たとえ来年努力して志望校に合格できないとしても何か自分の中で得るものがある一年になるように行動してほしいです。
7pt
0pt
597名前を書き忘れた受験生
2018/03/07 11:38
法文学部合格しておりました。
ここの掲示板は本当に助けになりました
わたしの住んでる場所は県外で四国でもないので知らない事ばかりで不安も有りますが、これから宜しくお願いします

3pt
0pt
2018/03/07 11:38
法文学部合格しておりました。
ここの掲示板は本当に助けになりました

わたしの住んでる場所は県外で四国でもないので知らない事ばかりで不安も有りますが、これから宜しくお願いします


3pt
0pt関連トピック
掲示板TOPへ戻る

コメントする
検索
画像一覧








